別名:吡嗪酮

英文名稱:Pymetrozine
含量:50%WDG
分子式:C10H11N5O
分子量:217.23
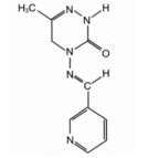
化學名:4,5-二氫-6-甲基-4-(3-吡啶亞甲基氨基)-1,2,4-3(2H)-酮
毒性:吡蚜酮大鼠經口LD501710mg/kg,大鼠經皮LD50>2000mg/kg。
理化性質:
外觀:白色結晶粉末。
熔點:217℃。
蒸氣壓(20℃):<9.7510-8pa。< p="">
溶解度(20℃,g/l):水,0.27;乙醇,2.25;正已烷,<0.01。< p="">
穩定性:對光、熱穩定,弱酸弱堿條件下穩定。
原藥規格:
外觀:白色或淺色粉末。
有效成分含量,%:≥95.0
丙酮不溶物,%:≤1.0
水份,%:≤1.0
PH值范圍:6-9
制劑(25%吡蚜酮可濕性粉劑):
外觀:淺黃色疏松粉末,無團塊。
吡嗪酮含量,%:25.0
懸浮率,%:≥75
潤濕時間,S:≤90
細度(通過44mm孔徑篩),%:≥98
水分,%:≤1.5
PH值范圍:8.0-10.0
產品特點
●選擇性強——本品選擇性極佳,對某些重要天敵或益蟲,如棉鈴蟲的天敵七星瓢蟲,普通草蛉,葉蟬及飛虱科的天敵蜘蛛等益蟲幾乎無害。
●優良的內吸活性——葉面試驗表明,其內吸活性(LC50)是抗蚜威的2-3倍,是氯氰菊酯的140倍以上。
●可以防治抗有機磷和氨基甲酸酯類殺蟲劑的桃蚜等抗性品系害蟲。


